 |
 |
pour
poutre appuyée aux deux extrémités. |
 |
pour
poutre encastrée aux deux extrémités |
| |
pour
poutre assemblée aux deux extrémités
(1/2 encastrement). |
Donc
dans ce cas,




 |
 |
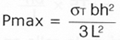
Pour
poutre appuyée aux deux extrémités. |
 |
pour
poutre encastrée aux deux extrémités. |
 |

NOTE
: Ces méthodes de calculs sont des méthodes
approchées.
Elles
doivent donc être prises avec prudence et, en particulier
le cisaillement dû aux efforts tranchants a été
négligé;
les
caractéristiques de la colle doivent être déterminées
selon les méthodes d'essais citées et aux conditions
de températures extrêmes d'utilisation;
les ruptures "adhésives" ou inter-faciales ne sont pas prises
en compte (hypothèse de l'adhérence parfaite),
ce qui nécessite une vérification, à
priori, et une optimisation de la préparation des surfaces.
Des
facteurs de sécurité doivent être introduits
pour tenir compte :
- de l'effet géométrique (une grande surface
de collage présentera statistiquement plus de défauts
tels que bulles, porosités, défaut de polymérisation,
épaisseur du joint variable...);
- des contraintes statiques (et) ou dynamiques qui pourraient
provoquer des phénomènes de fatigue et/ou de
fluage;
- du vieillissement de la colle et des interfaces dû
à l'environnement (température, humidité
: voir paragraphe 9.3.). Les résultats de ces calculs
devront être confortés par des essais, à
la charge de l'utilisateur.
page précédente |
|
|
| |
|
|
|